Take the survey https://forms.gle/weLGNcB9vbQLKnbw5

4.1 Descriptive analysis results.
4.1.1 Burnout, EE and DE.
The majority of the participants (78.3%) presented moderate levels of burnout and 10.8% experienced severe burnout (M=37.6, SD=7.3).
Similar findings were revealed for EE: 74.7% presented moderate levels and 15.6% experienced a severe form of EE (M=19.24, and SD=4.10). Moderate DE was found for 78.31% of the participants and severe DE for 6% (M=18.7, SD=4.3).
These findings confirm H1, that a significant number of HMs experience burnout with high levels of EE and DE.
Table 3: Levels of burnout, EE and DE.

4.1.2 Perceived life satisfaction.
More than half of the respondents or 55,4% (M=24.13, SD=6.8) were satisfied or highly satisfied with life but 12% were dissatisfied or highly dissatisfied with life (table 4).
Table 4: Perceived LS.

4.1.3 Work orientation.
The WOI outcome was twofold (table 5).
Firstly, it was necessary to consider the descriptive scale of job, career and calling. The results indicated that 19.2% of the respondents (n=16) had a job orientation, 43.3% (n=36) a career orientation and 37.3% (n=31) a calling orientation (Mean=2.18 and SD=0.73).
Secondly the results obtained via the three subscales of the 18-item true/false questionnaire were looked at in comparison to the three-item descriptive scale. On the one hand, 45.7% of respondents (n=38) presented similar trends for career orientation. On the other hand, job orientation differed by almost 10 points for 9.6% of the respondents (n=8) and calling orientation differed by seven points for 44.5% of respondents (n=37), (Mean=24.7, SD=3.6).
Table 5: WO

4.2 Correlation and regression
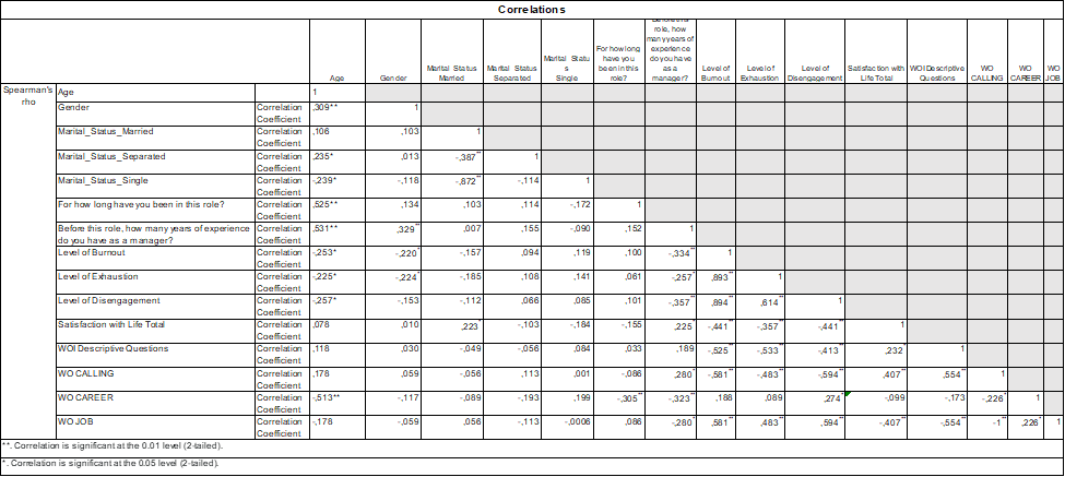
The correlations between the variables are presented in table 6. Significant correlation was found among several variables. Attention is brought to the fact that EE and DE outcomes were obtained by subscales of the burnout measure, resulting in collinearity (EE: r=.89**, DE: r=89**). Moreover, for the two WO questionnaires, dummy variables were created to compute the results. This resulted in a 100% negative correlation between the WO job and WO descriptive scale. However, that does not affect the interpretations of the findings, because these two dependent variables were separately correlated with other results.
A weak significant negative correlation was found between gender and EE (r=-.22*). Gender was measured with a 1 for male and 0 for female which indicated that women were presenting higher levels of EE than men. Again, gender was found to have a moderate positive correlation with the number of years as a manager before assuming the current position, signifying that male participants in the study had been in managerial roles for longer than the females, contributing to the research (r=.33**).
Burnout, EE and DE were all moderately negatively correlated with LS, r=-.44** for burnout, r=-.35 for EE and r=-.44** for DE. This confirms H2, that is, HMs experiencing high levels of burnout, EE and DE are experiencing low levels of LS.
Age had a significant negative correlation with a unique independent variable, namely career WO (r=-.51**) meaning that with years going by the WO is less career oriented.
Marital status: married had a weak positive correlation with LS (r=.22*).
Separated and single were both negatively correlated with LS, although not significantly (r=-.10 for separated HMs and r=-.18 for single HMs). The correlation analysis indicates that married HMs seem more satisfied with life.
Another moderate negative correlation was found between career WO and the number of years in the current role (r=-.30**).
The independent variable of number of years of experience as a manager presented several significant relationships, starting with a moderately negative relationship with burnout (r=-.33**), EE (r=-.25*) and DE (r=-.35**) followed by a positive relationship with LS (r=.22*) and calling WO (r=.28*) and a negative relationship with career WO (r=-.32**) and job WO (r=-.28*).
Calling WO was tested with two scales and calling WO showed a moderate positive correlation with both; LS, r=.22* for the descriptive scale and r=.40** with the true/false questionnaire. For EE, the correlations were strongly negative at r=-53** for the relationship with the descriptive scale and r=-.48** with the true/false questionnaire. The trends were the same for DE at r=-.41** and r=-.59** for the true/false questionnaire. These results confirm H3, namely, that HMs with calling WO are more satisfied with life, and experience less EE and DE.
Age and EE showed a small negative correlation (r=-.22*). So did the number of years as a manager before the current position because the correlation was weakly negative (r=-.25*). On the other hand, the number of years in the current role did not have a significant relationship with EE. Hence RQ1 is partially supported.
Table 6: Correlations

For EE, a significant regression equation was found with two predictors accounting for 27.5% of variance in EE: WO calling (Beta=-.48, p<.01) and gender (Beta=-.21, p<.05).
For DE, a significant regression equation was found with two predictors accounting for 43.1% in variance in DE: WO calling (Beta=-.55, p<.01) and LS (Beta=-.19, p<.05. Thus, the answer to RQ2 seems that EE and DE can be predicted by WO.

5. Discussion and limitations
Due to its correlational nature, this research does not reveal the source of burnout, EE and DE among HMs nor any causal effect. The following discussion is built on the findings and aims to encourage further empirical and experimental investigations.
Recall of the research hypotheses and questions:
H1. A significant proportion of HMs experience burnout with high levels of EE and DE.
H2. HMs experiencing high levels of burnout, EE and DE are expected to experience low LS
H3. Calling WO will have a positive correlation with LS and negative correlation with EE and DE.
RQ1. Is there a relationship between age, years of experience as a manager, years of experience in the current role EE and DE?
RQ2. Is there a factor among the independent variables applied in this study that can predict EE and DE?
H1, H2 and H3 are all supported. RQ1 was partially supported and RQ2 was positively answered.
There was a consensus in the few articles found on hospitality workers and HMs’ wellbeing that the individuals occupying these roles present high risks of experiencing burnout, EE and DE (Chu & Murrmann, 2006; Buick, 2001; Maxwell, 1997, Levinson, 1996).
The current study supports these affirmations and validates H1, namely that HMs experience high levels of EE and DE, providing a contemporary screenshot of the situation.
These results should raise questions and create a potential starting point for research; for example, while EE and DE were significant, LS was relatively high for over half of the respondents.
This could indicate that the HMs had developed coping strategies to deal with stress and frequent personal interactions that enabled them to still appreciate life or take care of themselves.
This could be further questioned, because the results show that EE and DE are negatively correlated with LS. Could that mean that there is a limit to these coping strategies? Or that the more exhausted the HMs is, the less satisfied she or he is with life? This would support H2. On the other hand, calling WO not only had a negative relationship with burnout, EE and DE (H3 confirmed), it also stood out as the strongest factor to predict EE and DE (RQ2).
Without claiming that calling WO is something HMs should strive to have at all costs, this might suggest that a calling WO could help to reduce burnout, EE and DE. Again, a larger sample would enable to confirm this or obtain information about the levels of calling beyond which the benefits are reduced (Duffy, Douglass, Autin, England & Dik, 2016)
The researcher desired to contribute to the literature on the impact of age and years of experience on burnout and EE (RQ1). The results are in line with the meta-analysis conducted in 2004 (Brewer & Shapard, 2004) with a small negative correlation. The researcher would not recommend excluding these variables in further research, but rather increasing sample size to be able to analyse this relationship in detail by splitting the data into clusters of three- to five-years age groups.
The fact that age had a strong negative correlation with career WO while it had a non-significant negative correlation with job and a non-significant positive correlation with calling raises a complex question about the potential evolution of work orientation. For example, when and why does WO evolve?
Moreover, although HMs from across the globe participated in the study, the majority of the respondents (n83) worked in the same country (France) and occupied the same position (general manager), creating a lack of cross-cultural and cross-occupational input. Future research should ensure participants include various positions from different countries.
The researcher also draws attention to the WO results. The WOI scale applied was a true/false questionnaire, creating nominal results with job and calling orientation on opposite ends of a continuum and with career orientation as a subscale. Although the scale has received validation, it is not clear how to interpret and present findings. Besides, the WOI results contradict the results of Wrzesniewski’s (1997) study, in which job, career and calling orientations were equally distributed regardless of the field or level of position.
Also, the differences in the results obtained from the two WO questionnaires create questions about the validity of the three separated WO and constitute ground for further research related to the possibility of a multiple or a hybrid WO. Could one have a high career–high calling WO or a high job–high career WO? This could be verified with a larger sample of HMs.
Conclusion.
In conclusion, this study confirms that HMs wellbeing is at stake and that nine out of every 10 managers is experiencing moderate to severe EE and DE, which could potentially lead to burnout.
Although the literature has repeatedly confirmed the multidimensional construct of wellbeing and burnout, in the present study the impact of the different approaches HMs have towards their work (WO) is proven to predict levels of EE and DE.
The researcher recommends that organisations pay attention to their managers by focusing on the positive outcomes created by balanced workload, job crafting and wellbeing. Finally, she encourages peer scholars to further study causes before attempting to experiment with preventive and corrective positive psychological interventions.
PS: This is an extraction from:
Hospitality managers’ well-being: Emotional exhaustion, disengagement and the relationship with work orientation and life satisfaction
Hrafnhildur Krumma Jonsdottir
Student n°: U1637298 School of Psychology,
University of East London, Water Lane, London
Programme: MAPPCP Term: 2-2019 Submitted on May 14th 2019
Module leader: Dr Rona Hart